这篇文章上次修改于 2579 天前,可能其部分内容已经发生变化,如有疑问可询问作者。
NOT 门(非)
基本特性
| 输入 | 输出 |
|---|---|
| true | false |
| false | true |
基本逻辑电路的两种情况


输入为 true 电流接地流走,输出没有电流状态为 false
输入为 false 半导体不导电,输出有电流状态为 true
符号表示

AND 门(与)
基本特性
| 输入1 | 输入2 | 输出 |
|---|---|---|
| true | true | true |
| true | false | false |
| false | true | false |
| false | false | false |
两个输入都为 true,输出才为 true,否则输出 false



这就是一个串联电路,有一个开关没打开就没办法过去
符号表示

OR 门(或)
基本特性
| 输入1 | 输入2 | 输出 |
|---|---|---|
| true | true | true |
| true | false | true |
| false | true | true |
| false | false | false |
两个输入有一个为 true,输出九尾 true
这个理解起来比较简单我们就做两个动画示例就好了


这就是一个并联电路,有一个开关打开就能通电
符号表示

XOR 门(异或)
基本特性
异或的特性比较复杂,我们用一张表来看一下
| 输入1 | 输入2 | 输出 |
|---|---|---|
| true | true | false |
| true | false | true |
| false | true | true |
| false | false | false |
这个特性用一个简单的话概括:鱼与熊掌不可兼得

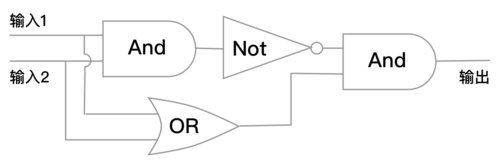
这个逻辑电路我就不做动画了,简单看一下:
- 如果两个输入的值为 true 时,那么上半部分电路经过「Not门」结果为 false,下半部分为 true,但是最后的「And门」导致结果为 false
- 如果两个输入的值为 false 时,那么上半部分电路经过「Not门」结果为 true,下半部分为 false,经过最后的「And门」导致结果为 false
- 如果两个输入的值不一样,那么上半部分电路经过「Not门」结果为 true,下半部分也为 true,最后的「And门」结果为 true
符号表示

小结
总结了一下基础的逻辑电路,然后通过基本逻辑电路推出稍微复杂的异或电路。


没有评论